Справочник строителя | Свойства стекол
ТЕПЛОФИЗИЧЕСКИЕ СВОЙСТВА
Теплоемкость стекол различного химического состава колеблется от 0,3 до 1,05 кДж/(кг·К). С повышением температуры до tg теплоемкость увеличивается незначительно, в интервале tg — tf быстро возрастает. С увеличением содержания щелочных оксидов теплоемкость растет, с увеличением содержания РbО и ВаО - уменьшается.
Теплопроводность характеризует способность вещества проводить тепло в градиентном температурном поле. Стекло малотеплопроводное. Теплопроводность стекла характеризуется коэффициентом теплопроводности λ, который для различных силикатных стекол колеблется от 0,7 до 1,З Вт/(м·К). Наибольшую теплопроводность имеет различное кварцевое стекло. Обычное натрий-кальций-силикатное стекло (оконное) имеет λ = 0,97 Вт/(м·К). С повышением температуры теплопроводность увеличивается и при нагревании выше tg примерно удваивается. Коэффициент теплопроводности зависит от химического состава стекла и может быть рассчитан по формуле аддитивности.
Термическое расширение тел. Нагревание тела при постоянном объеме вызывает увеличение линейных размеров и объема. Термическое расширение характеризуется объемным и линейным коэффициентами температурного расширения. Истинные значения определяют как дифференциальные величины, учитывающие приращение размеров тела при повышении температуры:
где V0 и l0 – начальные объём и длина тела.
На практике пользуются средними значениями и
, вычисленными в некотором интервале температур ?t=0…100; 100…200°C и т.д.:
Экспериментально проще определять температурный коэффициент линейного расширения (ТКЛР), чем объемный. Поскольку стекло является изотропным телом, то с хорошим приближением объемный коэффициент выражается через линейный: β≈3α.
Влияние состава стекла на ТКЛР. Для силикатных стекол минимальное значение ТКЛР в интервале 0...1000°С характерно для кварцевого стекла: α = 5х10-7 оС-1. Для щелочно-силикатных стекол при повышении концентрации щелочного компонента от 0 до 33 % ТКЛР повышается. Это обусловлено двумя факторами:
уменьшением степени связности структурной сетки;
появлением в системе менее прочных связей Si-О-Si типа Si-O-Ме.
Природа щелочного компонента также влияет на αt. Термическое расширение растет по мере увеличения ионного радиуса в ряду
Li→Na→K
Двухзарядные ионы щелочноземельных металлов способствуют увеличению степени связности структурной сетки и обладают более высокой энергией связи Ме-О, чем ионы щелочных металлов. По эффективности воздействия на αt в сторону его уменьшения щелочноземельные металлы располагаются в следующий ряд:
Ве→Мg→Са→Ва,
т.е. наиболее низкие значения αt достигаются при Ва.
Уменьшается αt при введении в стекло многозарядных ионов типа Fе(lll), Lа, Се, В, Аl, Zr, что обусловлено связыванием в прочные координационные полиэдры слабополяризованных атомов кислорода, повышением связности смешанного элементокремнекислородного каркаса.
Термостойкость характеризует свойства материалов выдерживать одно- или многократные перепады температур без разрушения. При резком охлаждении или нагревании в стекле возникают термоупругие напряжения: при нагревании - сжатие, а при охлаждении - растяжение. Поскольку изделия из стекла обладают более высокой прочностью на сжатие, то термостойкость изделий из стекла более высокая при резком нагреве, чем при резком охлаждении.
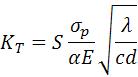
Коэффициент термостойкости материала может быть рассчитан по формуле Винкельмана - Шотта:
где S – константа, учитывающая форму изделия;
σр - предел прочности при растяжении;
α – ТКРЛ;
Е – модуль упругости;
- коэффициент температуропроводности;
с- теплоёмкость стекла;
d – плотность.
Или в более четкой форме:
,
где обозначения те же.
Среди силикатных стекол наиболее высокой термостойкостью (~ 1000°С) обладает кварцевое стекло, для которого характерно оптимальное сочетание параметров: самое низкое значение αt (5х10-7оС-1), высокий коэффициент температуропроводности.
Вернуться к списку
|
Распечатать
|


